Оказываем услугу по разработке ППР для работы на высоте
Разработка плана производства работ на высоте ведется в соответствии с приказом № 782н об утверждении правил по охране труда при работе на высоте. C проектом в обязательном порядке должны быть ознакомлены все сотрудники, занятые на объекте и осуществляющие комплекс высотных работ.
Виды операций, для которых
нужна разработка ППР на высоте
кровлях зданий
мостах и путепроводах
столбах, мачтах, вышках
ППР на высоте нового образца содержит в себе технологические карты на высоте, описание проведения технико-технологических и организационных мероприятий на нестационарных рабочих местах. Наша компания выпустила более 60 планов производства работ на высоте по новым правилам.
Виды планов производства работ на высоте
Начиная с 2016 года специалисты нашей организации выполнили, сдали Заказчику и сопроводили боле 100 планов производства работ на высоте. Наиболее часто встречающиеся типы ППРв на высоте, составлением которых мы занимаемся находятся в этом списке:
- ППР на высоте с применением канатного доступа. Разработка плана для выполнения высотных работ с использованием альпинистского снаряжения;
- ППР на высоте с применением машин и механизмов. Составление плана для выполнения высотных работ с использованием строительной техники и механизмов, таких как краны и автовышки;
- ППР на высоте при установке и мойке окон. Создание плана для безопасного выполнения работ по установке, замене и мойке окон на высоте, включая использование специализированного оборудования;
- ППР на высоте со стремянок. Разработка плана для выполнения работ на высоте с использованием стремянок;
- ППР для работ в колодцах. Составление плана для проведения работ в глубоких колодцах, где необходимо учитывать меры охраны труда при работах в замкнутых пространствах;
- ППР для работ на лесах и подмостях. Подготовка плана работ на высоте для осуществление строительных и ремонтных работ на лесах и подмостях. Такой проект зачастую является приложением к ППР на монтаж строительных лесов.
Это основные типы, но существуют и отдельные виды, с которыми мы периодически сталкиваемся в нашей работе. Например, ППР на высоте для обслуживания светильников и кровель на заводах фабриках и предприятиях.
- - Высотная отметка
- - Погодные условия
- - Продолжительность технологических операций
- - Объем осваиваемых процессов
- - Технология производства основных видов работ
Основные устройства и техника
в составе ППР на высоте
Применяемая
техника
- - Вилочные погрузчики с монтажными платформами
- - Телескопические подъемники с монтажными платформами
- - Автогидроподъемники с люльками
- - Подъемники ножничного типа
- - Подъемники коленчатого типа
- - Мачтовые подъемники
- - Подъемники подвесные с люльками
Применяемые средства
подмащивания
- - Площадки обслуживания навесные
- - Леса строительные различных видов и типов
- - Подмости
- - Вышки-туры
- - Лестницы и стремянки строительные
- - Люльки подвесные
Применяемые
системы и СИЗ
- - Системы канатного доступа
- - Системы удерживания
- - Страховочные системы
- - Анкерные линии
- - Системы заземления при работах на высоте
- - Каски, строительные перчатки, спецодежда и т.д.
- - Временные ограждающие устройства
Содержание ППР на высоте
Работы на высоте представляют собой один из наиболее травмоопасных видов деятельности, однако они неизбежны в таких отраслях, как строительство и электроэнергетика. Согласно пункту 36 "Правил 782н "Об утверждении правил по охране труда при работе на высоте", содержание ППР должно включать безопасные методы выполнения работ. Основные разделы плана:
1) Пояснительная записка:
- Содержание
- Лист согласования
- Лист ознакомления
- Область применения
- Организация производства работ
- Общие сведения об объекте строительства
- Общие требования производства работ на высоте
Технологическая карта по организации работ на высоте:
- Временные ограждающие устройства
- Используемые средства подмащивания
- Системы обеспечения безопасности работ на высоте
- Номенклатура средств по защите работников (СИЗ)
- Состав бригады
Мероприятия по обеспечению требований охраны труда:
- Общие указания
- Требования по санитарно бытовому обслуживанию работников
- Требования по охране труда, предъявляемые к производственным помещениям и площадкам
- Требования по охране труда при монтаже/демонтаже лесов и работе с настилов
- Требования по охране труда к оборудованию, механизмам, ручному инструменту, применяемому при работе на высоте
- Требования безопасности при работе на высоте
- Ведомость ссылочных документов
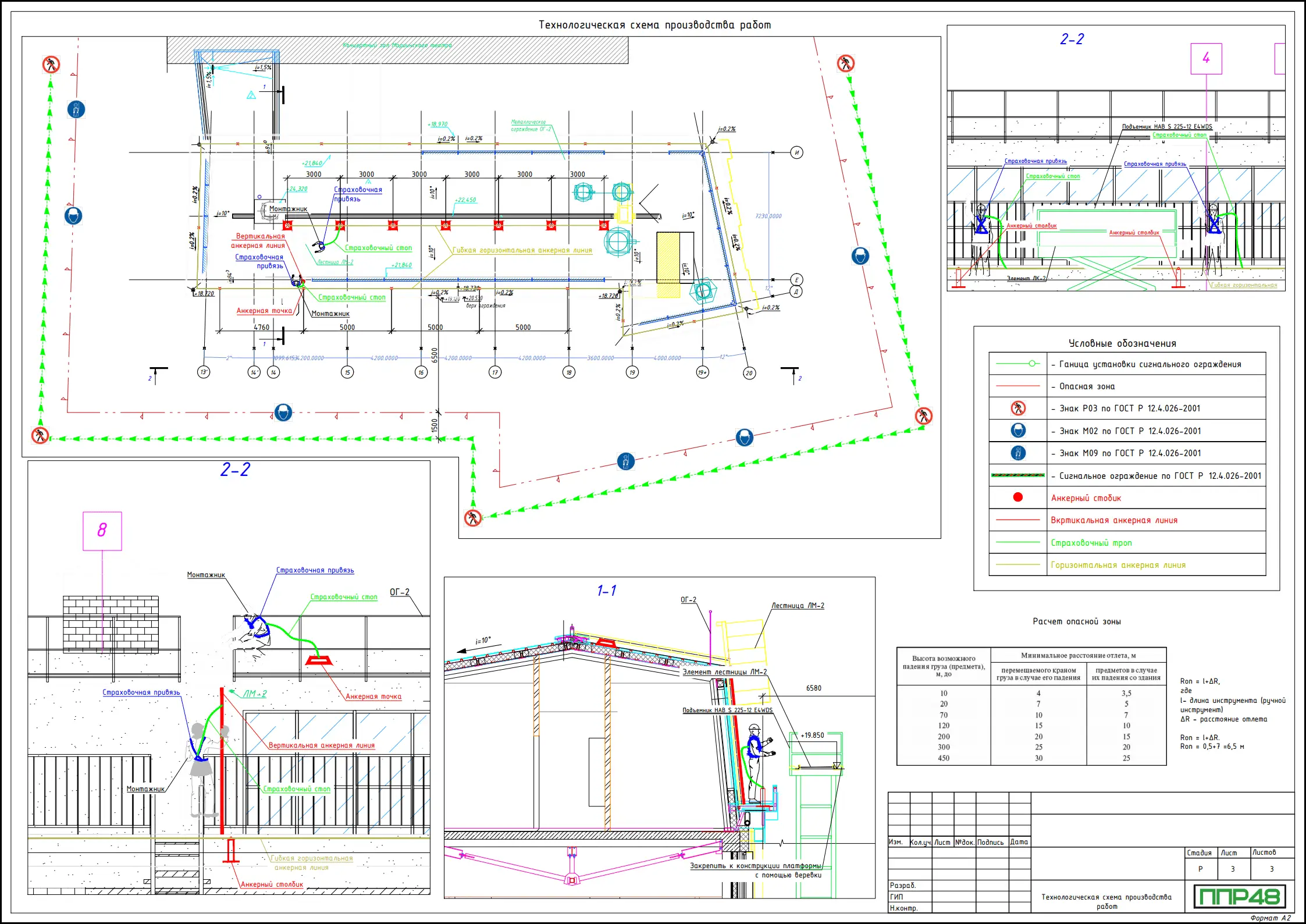
2) Графическая часть:
- Технологические схемы производства работ на высоте (планы, разрезы)
- Узлы крепления анкерных точек
3) Приложения:
- Расчеты анкерных точек и анкерных линий на нагрузки от срыва работника при работах на высоте
- План по спасению и эвакуации работника в случае ЧС (ПСЭР)
У нашей компании существует огромная база накопленного опыта и примеров работ. При необходимости подтверждения наших компетенций, мы можем вам отправить наши примеры проектов для их изучения.










































