Разработка технологической карты работы крана
Разрабатывается в виде самостоятельного документа. В некоторых случаях может входить в состав ППР.
Область применения ТК - операции по перемещению грузов, монтажу/демонтажу конструкций, с использованием грузоподъемной техники, подача материалов в зону производства СМР. Узнать стоимость разработки ТК.
Специалисты нашей компании имеют богатый опыт в разработке технологических карт (ТК) производства работ кранами всевозможных видов и модификаций. За время нашей работы мы разработали сотни технологических карт данного типа для заказчиков из строительной и промышленной отраслей.
В нашей работе мы всегда учитываем технические характеристики кранов, принимая во внимание такие параметры как грузоподъемность и вылет стрелы. Все наши проекты содержат конкретные указания по работе грузоподъемной техники, а также указания по охране труда и техники безопасности для машиниста крана, стропальщиков, монтажников и т.д.
Скачать перечень данных
Виды технологических карт с использованием грузоподъемной техники
Наша организация разрабатывает ТК кранами с 2016 года. За это время мы стали постоянными контрагентами по выполнению ТК для сотен промышленных предприятий и строительных компаний. Чаще всего нам приходилось сталкиваться с изготовлением следующих типов ТК для работы грузоподъемной техники:
- Технологическая работы автомобильного крана;
- Технологическая работы мостового кран-балки;
- Технологическая работы мостового крана-манипулятора;
- Технологическая работы башенного крана;
- Технологическая работы несколькими кранами;
- Технологическая работы козлового крана;
- Технологическая работы портального крана
В процессе разработки каждого документа мы всегда внимательно относимся к пожеланиям заказчика, проводим детальный анализ исходных данных, учитываем индивидуальные особенности выполнения строительно-монтажных работ или производственных циклов на промышленных предприятиях.
Состав технологической карты производства работ кранами
ТК работы крана состоит из пояснительной записки и графической части и в общем виде выглядит следующим образом:
1. Титульный лист
2. Лист согласования
3. Лист ознакомления
4. Пояснительная записка
4.1. Область применения
4.2. Общие положения
4.3. Организация производства работ
4.4. Технология производства работ
4.5. Материально-технические ресурсы (состав бригад, техническое оснащение, машины и механизмы)
4.6. Охрана труда и техника безопасности
5. Приложения
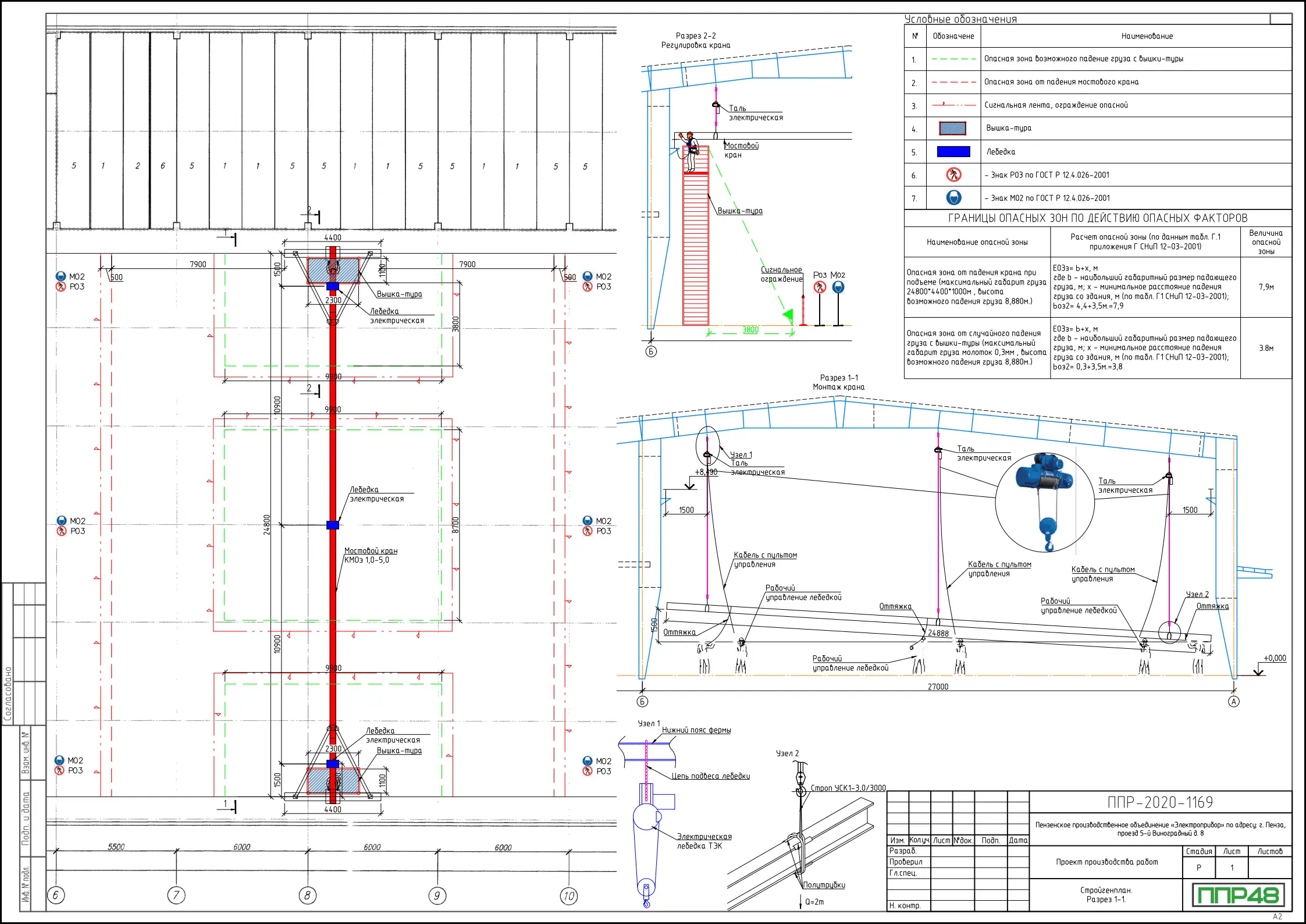
5.1. Организационно-технологическая схема производства работ (чертеж Autocad)
5.2. Схема строповки грузов
5.4. Таблица масс грузов
5.5. Паспорта, сертификаты на технику, изделия и материалы и т.д.
Компоновку графических схем мы обычно выполняем следующим образом:
- планы и разрезы;
- узлы строповки конструкций;
- расчет и графическое отображение рабочих/опасных зон работы крана;
- указатели направлений движения строительной техники;
- места стоянки и отдыха грузоподъемной техники;
- знаки безопасности и сигнальные ограждения по ГОСТ-12.4. 0262015;
- спецификации;
- условные обозначения и т.д.
В процессе изготовления ТК, необходимо учитывать требования нормативных документов. В них содержатся правила по безопасной эксплуатации кранов, нормы по транспортировке материалов, указания по эксплуатации техники.




































